《数据结构与算法》(十二)- 图详解
前言
部分内容摘自程杰的《大话数据结构》
1. 图的定义
在线性表中,数据元素之间是被串起来的,仅有线性关系,每个数据元素只有一个直接前驱和一个直接后继。在树形结构中,数据元素之间有着明显的层次关系,并且每一层上的数据元素可能和下一层中多个元素相关,但只能和上一层中一个元素相关。这和一对父母可以有多个孩子,但每个孩子却只能有一对父母是一个道理。可现实中,人与人之间关系就非常复杂,比如我认识的朋友,可能他们之间也互相认识,这就不是简单的一对一、一对多, 研究人际关系很自然会考虑多对多的情况。那就是我们今天要研究的主题一图。 图是一种较线性表和树更加复杂的数据结构。在图形结构中,结点之间的关系可以是任意的,图中任意两个数据元素之间都可能相关。
图(Graph)是由顶点的有穷非空集合和顶点之间边的集合组成,通常表示为 G(V,E),其中,G表示一个图,V是图G中顶点的集合,E是图G中边的集合。

对于图的定义,我们需要明确几个注意的地方:
- 线性表中我们把数据元素叫元素,树中将数据元素叫结点,在图中数据元素,我们则称之为顶点(Vertex)。(有些人也喜欢称图的顶点为 Node,这里统一用 Vertex)
- 线性表中可以没有数据元素,称为空表。树中可以没有结点,叫做空树。那么对于图呢?在图结构中,不允许没有顶点。在定义中,若
V是顶点的集合,则强调了顶点集合V有穷非空。 - 线性表中,相邻的数据元素之间具有线性关系,树结构中,相邻两层的结点具有层次关系,而图中,任意两个顶点之间都可能有关系,顶点之间的逻辑关系用边来表示,边集可以是空的。
1.1 各种图的定义
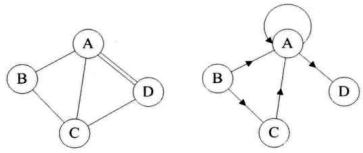
无向边:若顶点V到V之间的边没有方向,则称这条边为无向边(Edge),用无序偶对(V,V)来表示。如果图中任意两个顶点之间的边都是无向边,则称该图为无向图(undirected graphs)。 左下图就是一个无向图,由于是无方向的,连接顶点A与D的边,可以表示成无序对(A,D), 也可以写成(D,A)。
对于左下图的无向图 G 来说,G= (V, {E}),其中顶点集合 V={A,B,C,D};边集合 E={(A,B),(B,C),(C,D),(D,A),(A,C)}
有向边:若从顶点V到V的边有方向,则称这条边为有向边,也称为弧(Arc)。用有序偶 <v, v> 来表示,v 称为弧尾(Tail),v 称为弧头(Head)。如果图中任意两个顶点之间的边都是有向边,则称该图为有向图(directed graphs)。 右上图就是一个有向图。连接顶点A到D的有向边就是弧,A是弧尾,D是弧头,<A, D>表示弧,注意不能写成<D, A>。
对于右上图中的有向图 G 来说,G=(V, {E}),其中顶点集合 V={A,B,C,D};弧集合 E={<A,D>,<B,A>,<C,A>,<B,C>)。
看清楚了,无向边用小括号 “()” 表示,而有向边则是用尖括号 “<>” 表示。
在图中,若不存在顶点到其自身的边,且同一条边不重复出现,则称这样的图为简单图。我们这里要讨论的都是简单图。显然下图中的两个图就不属于我们要讨论的范围。

在无向图中,如果任意两个顶点之间都存在边,则称该图为无向完全图。含有n个顶点的无向完全图有 条边。比如下图就是无向完全图,因为每个顶点都要与除它以外的顶点连线,顶点 A 与 B、C、D 三个顶点连线,共有四个顶点,自然是 4×3,但由于顶点 A 与顶点 B 连线后,计算 B 与 A 连线就是重复,因此要整体除以 2,共有 6 条边。

在有向图中,如果任意两个顶点之间都存在方向互为相反的两条弧,则称该图为有向完全图。含有 n 个顶点的有向完全图有 n×(n-1) 条边,如下图所示。

从这里也可以得到结论,对于具有n个顶点和e条边数的图,无向图0≤e≤n(n-1)/2,有向图0≤e≤n(n-1)。
有很少条边或弧的图称为稀疏图,反之称为稠密图。这里稀疏和稠密是模糊的概念,都是相对而言的。
有些图的边或弧具有与它相关的数字,这种与图的边或弧相关的数叫做权(Weight)。这些权可以表示从一个顶点到另一个顶点的距离或耗费。这种带权的图通常称为网(Network)。 下图就是一张带权的图,即标识中国四大城市的直线距离的网,此图中的权就是两地的距离。

假设有两个图 G=(V,{E}) 和 G’=(V’,{E’}),如果V’⊆V且E’⊆E,则称G’为G的子图(Subgraph)。例如下图带底纹的图均为左侧无向图与有向图的子图。

1.2 图的顶点与边间关系
对于无向图 G=(V,{E}),如果边 (v,v’)∈E,则称顶点v和v’互为邻接点(Adjacent),即v和v’相邻接。边 (v,v’) 依附(incident)于顶点v和v’,或者说 (v,v’) 与顶点v和v’相关联。顶点v的度(Degree)是和v相关联的边的数目,记为TD(v)。 例如左侧上方的无向图,顶点A与B互为邻接点,边 (A,B) 依附于顶点A与B上,顶点A的度为 3。而此图的边数是 5,各个顶点度的和=3+2+3+2=10,推敲后发现,边数其实就是各顶点度数和的一半,多出的一半是因为重复两次记数。简记之:
对于有向图 G=(V,{E),如果弧 <v,v’>∈E,则称顶点v邻接到顶点v’,顶点v’邻接自顶点v。弧<v,v’>和顶点v,v’相关联。以顶点v为头的弧的数目称为v的入度(InDegree),记为ID(v);以v为尾的弧的数目称为v的出度(OutDegree),记为OD(v);顶点v的度为TD(v)=ID(v)+OD(v)。例如上图左侧下方的有向图,顶点 A 的入度是 2(从 B 到 A 的弧,从 C 到 A 的弧),出度是 1(从 A 到 D 的弧),所以顶点 A 的度为 2+1=3。此有向图的弧有 4 条,而各顶点的出度和=1+2+1+0=4,各顶点的入度和=2+0+1+1=4。所以得到
无向图 G=(V,{E}) 中从顶点v到顶点v’的路径(Path)是一个顶点序列(v=v,0,v,1,···,v,m=v’),其中(v,v)∈E, 1≤j≤m。例如下图中就列举了顶点 B 到顶点 D 四种不同的路径。

如果 G 是有向图,则路径也是有向的,顶点序列应满足 <v,v>∈E,1≤j≤m。例如下图,顶点 B 到 D 有两种路径。而顶点 A 到 B ,就不存在路径。

树中根结点到任意结点的路径是唯一的,但是图中顶点与顶点之间的路径却是不唯一的。
路径的长度是路径上的边或弧的数目。上图中的两张图两条路径长度为 2,下图两张图两条路径长度为 3。上图左侧路径长为 2,右侧路径长度为 3。
第一个顶点到最后一个顶点相同的路径称为回路或环(Cycle)。 序列中顶点不重复出现的路径称为简单路径。除了第一个顶点和最后一个顶点之外,其余顶点不重复出现的回路,称为简单回路或简单环。下图中两个图的粗线都构成环,左侧的环因第一个顶点和最后一个顶点都是 B,且 C、D、A 没有重复出现,因此是一个简单环。而右侧的环,由于顶点 C 的重复,它就不是简单环了。

1.3 连通图的相关术语
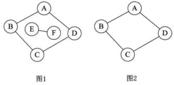
在无向图G中,如果从顶点v到顶点v’有路径,则称v和v’是连通的。如果对于图中任意两个顶点v、v∈E,v和v都是连通的,则称G是连通图(Connected Graph)。下图中的图1,它的顶点 A 到顶点 B、C、D 都是连通的,但显然顶点 A 与顶点 E 或 F 就无路径,因此不能算是连通图。而下图中的图 2,顶点 A、B、C、D 相互都是连通的,所以它本身是连通图。

无向图中的极大连通子图称为连通分量。注意连通分量的概念,它强调:
- 要是子图;
- 子图要是连通的;
- 连通子图含有极大顶点数;
- 具有极大顶点数的连通子图包含依附于这些顶点的所有边。
上图中的图 1 是一个无向非连通图。但是它有两个连通分量,即图 2 和图 3。而图4,尽管是图1的子图,但是它却不满足连通子图的极大顶点数(图2满足)。因此它不是图1的无向图的连通分量。
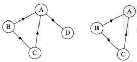
在有向图G中,如果对于每一对V、v∈V、v≠v, 从 v 到 v 和从 v 到 v 都存在路径,则称G是强连通图。有向图中的极大强连通子图称做有向图的强连通分量。例如下图中图 1 并不是强连通图,因为顶点 A 到顶点 D 存在路径,而 D 到 A 就在存在。图 2 就是强连通图,而且显然图 2 是图 1 的极大强连通子图,即是它的强连通分量。

现在我们再来看连通图的生成树定义。
所谓一个连通图的生成树是一个极小的连通子图,它含有图中全部的n个顶点,但只有足以构成一棵树的n-1条边。比如下图的图 1 是一普通图,但显然它不是生成树,当去掉两条构成环的边后,比如图 2 或图 3,就满足 n 个顶点 n-1 条边且连通的定义了。它们都是一棵生成树。从这里也可知道,如果一个图有 n 个顶点和小于 n-1 条边,则是非连通图,如果它多于 n-1 边条,必定构成一个环,因为这条边使得它依附的那两个顶点之间有了第二条路径。比如图 2 和图 3,随便加哪两顶点的边都将构成环。不过有 n-1 条边并不一定是生成树,比如图4。

如果一个有向图恰有一个顶点的入度为0,其余顶点的入度均为 1,则是一棵有向树。对有向树的理解比较容易,所谓入度为 0 其实就相当于树中的根结点,其余顶点入度为 1 就是说树的非根结点的双亲只有一个。 一个有向图的生成森林由若干棵有向树组成,含有图中全部顶点,但只有足以构成若干棵不相交的有向树的弧。如下图的图 1 是一棵有向图。去掉一些弧后,它可以分解为两棵有向树,如图 2 和图 3,这两棵就是图 1 有向图的生成森林。

1.4 图的定义与术语总结
图按照有无方向分为无向图和有向图。无向图由顶点和边构成,有向图由顶点和弧构成。弧有弧尾和弧头之分。
图按照边或弧的多少分稀疏图和稠密图。如果任意两个顶点之间都存在边叫完全图,有向的叫有向完全图。若无重复的边或顶点到自身的边则叫简单图。
图中顶点之间有邻接点、依附的概念。无向图顶点的边数叫做度,有向图顶点分为入度和出度。
图上的边或弧上带权则称为网。
图中顶点间存在路径,两顶点存在路径则说明是连通的,如果路径最终回到起始点则称为环,当中不重复叫简单路径。若任意两顶点都是连通的,则图就是连通图,有向则称强连通图。图中有子图,若子图极大连通则就是连通分量,有向的则称强连通分量。
无向图中连通且 n 个顶点 n-1 条边叫生成树。有向图中一顶点入度为 0 其余顶点入度为 1 的叫有向树。一个有向图由若干棵有向树构成生成森林。
2. 图的抽象数据类型
图作为一种数据结构,它的抽象数据类型带有自己特点,正因为它的复杂,运用广泛,使得不同的应用需要不同的运算集合,构成不同的抽象数据操作。我们这里就来看看图的基本操作。
1 | ADT 图(Graph) |
3. 图的存储结构
图的存储结构相较线性表与树来说就更加复杂了。首先,我们口头上说的 “顶点的位置” 或 “邻接点的位置” 只是一个相对的概念。其实从图的逻辑结构定义来看,图上任何一个顶点都可被看成是第一个顶点,任一顶点的邻接点之间也不存在次序关系。比如下面四张图,仔细观察发现,它们其实是同一个图,只不过顶点的位置不同,就造成了表象上不太一样的感觉。

也正由于图的结构比较复杂,任意两个顶点之间都可能存在联系,因此无法以数据元素在内存中的物理位置来表示元素之间的关系,也就是说,图不可能用简单的顺序存储结构来表示。而多重链表的方式,即以一个数据域和多个指针域组成的结点表示图中的一个顶点,尽管可以实现图结构,但其实在树中,我们也已经讨论过,这是有问题的。如果各个顶点的度数相差很大,按度数最大的顶点设计结点结构会造成很多存储单元的浪费,而若按每个顶点自己的度数设计不同的顶点结构,又带来操作的不便。因此,对于图来说,如何对它实现物理存储是个难题,不过我们的前辈们已经解决了,现在我们来看前辈们提供的五种不同的存储结构。
3.1 邻接矩阵
考虑到图是由顶点和边或弧两部分组成。合在一起比较困难,那就很自然地考虑到分两个结构来分别存储。顶点不分大小。主次,所以用一个一维数组来 存储是很不错的选择。而边或弧由于是顶点与顶点之间的关系,一维搞不定,那就考虑用一个二维数组来存储。于是我们的邻接矩阵的方案就诞生了。
图的邻接矩阵(Adjacency Matrix)存储方式是用两个数组来表示图。一个一维数组存储图中顶点信息,一个二维数组(称为邻接矩阵)存储图中的边或弧的信息。
设图 G 有 n 个顶点,则邻接矩阵是一个n×n的方阵,定义为:

我们来看一个实例,左下图就是一个无向图。

我们可以设置两个数组,顶点数组为 vertex[4]={v, v, v, v},边数组 arc[4][4] 为右上图这样的一个矩阵。简单解释一下,对于矩阵的主对角线的值,即 arc[0][0]、arc[1][1]、arc[2][2]、arc[3][3],全为 0 是因为不存在顶点到自身的边,比如 v 到 v。arc[0][1]=1 是因为 v 到 v 的边存在,而 arc[1][3]=0 是因为 v 到 v 的边不存在。并且由于是无向图,v 到 v 的边不存在,意味着 v 到 v 的边也不存在。所以无向图的边数组是一个对称矩阵。
所谓对称矩阵就是 n 阶矩阵的元满足 a=a(0≤i, j≤n)。 即从矩阵的左上角到右下角的主对角线为轴,右上角的元与左下角相对应的元全都是相等的。
有了这个矩阵,我们就可以很容易地知道图中的信息。
- 我们要判定任意两顶点是否有边无边就非常容易了。
- 我们要知道某个顶点的度,其实就是这个顶点 v 在邻接矩阵中第
i行(或第i列)的元素之和。比如顶点 v 的度就是1+0+1+0=2。 - 求顶点 v 的所有邻接点就是将矩阵中第
i行元素扫描一遍,arc[i][j]为 1 就是邻接点。
我们再来看一个有向图样例,如左下图所示。

顶点数组为 vertex[4]={v, v, v, v},弧数组 arc[4][4] 为上面右图这样的一个矩阵。主对角线上数值依然为 0。但因为是有向图,所以此矩阵并不对称,比如由 v 到 v 有弧,得到 arc[1][0]=1,而 v 到 v 没有弧,因此 arc[0][1]=0。
有向图讲究入度与出度,顶点 v 的入度为 1,正好是第 v 列各数之和。顶点 v 的出度为 2,即第 v 行的各数之和。
与无向图同样的办法,判断顶点 v 到 v 是否存在弧,只需要查找矩阵中 arc[i][j] 是否为 1 即可。要求 v 的所有邻接点就是将矩阵第i行元素扫描一遍,查找 arc[i][j] 为 1 的顶点。
在图的术语中,我们提到了网的概念,也就是每条边上带有权的图叫做网。那么这些权值就需要存下来,如何处理这个矩阵来适应这个需求呢?我们有办法。
设图 G 是网图,有 n 个顶点,则邻接矩阵是一个n×n的方阵,定义为:

这里 w 表示 (v,w) 或 <v,w> 上的权值。∞表示一个计算机允许的、大于所有边上权值的值,也就是一个不可能的极限值。有人会问,为什么不是 0 呢?原因在于权值 w 大多数情况下是正值,但个别时候可能就是 0,甚至有可能是负值。因此必须要用一个不可能的值来代表不存在。如左下图就是一个有向网图,右图就是它的邻接矩阵。

那么邻接矩阵是如何实现图的创建的呢?我们先来看看图的邻接矩阵存储的结构,代码如下。
1 | typedef char VertexType; /* 顶点类型应由用户定义 */ |
有了这个结构定义,我们构造一个图, 其实就是给顶点表和边表输入数据的过程。我们来看看无向网图的创建代码。
1 | /* 建立无向网图的邻接矩阵表示 */ |
从代码中也可以得到,n个顶点和e条边的无向网图的创建,时间复杂度为,其中对邻接矩阵G.are的初始化耗费了的时间。
3.2 邻接表
邻接矩阵是不错的一种图存储结构,但是我们也发现,对于边数相对顶点较少的图,这种结构是存在对存储空间的极大浪费的。比如说,如果我们要处理下图这样的稀疏有向图,邻接矩阵中除了 arc[1][0] 有权值外, 没有其他弧,其实这些存储空间都浪费掉了。

因此我们考虑另外一种存储结构方式。回忆我们在线性表时谈到,顺序存储结构就存在预先分配内存可能造成存储空间浪费的问题,于是引出了链式存储的结构。同样的,我们也可以考虑对边或弧使用链式存储的方式来避免空间浪费的问题。
再回忆我们在树中谈存储结构时,讲到了一种孩子表示法,将结点存入数组,并对结点的孩子进行链式存储,不管有多少孩子,也不会存在空间浪费问题。这个思路同样适用于图的存储。我们把这种数组与链表相结合的存储方法称为邻接表(diacency List)。
邻接表的处理办法是这样:
- 图中顶点用一个一维数组存储,当然,顶点也可以用单链表来存储,不过数组可以较容易地读取顶点信息,更加方便。另外,对于顶点数组中,每个数据元素还需要存储指向第一个邻接点的指针,以便于查找该顶点的边信息。
- 图中每个顶点 v 的所有邻接点构成一个线性表,由于邻接点的个数不定,所以用单链表存储,无向图称为顶点 v 的边表,有向图则称为顶点 v 作为弧尾的出边表。
例如下图所示的就是一个无向图的邻接表结构。

从图中我们知道,顶点表的各个结点由data和firstedge两个城表示,data是数据域,存储顶点的信息,firstedge是指针域,指向边表的第一个结点,即此顶点的第一个邻接点。边表结点由adjvex和next两个域组成。adjvex是邻接点域,存储某顶点的邻接点在顶点表中的下标,next则存储指向边表中下一个结点的指针。比如 v 顶点与 v、v 互为邻接点,则在 v 的边表中,adjvex分别为 v 的 0 和 v 的 2。
这样的结构,对于我们要获得图的相关信息也是很方便的。比如我们要想知道某个顶点的度,就去查找这个顶点的边表中结点的个数。若要判断顶点 v 到 v 是否存在边,只需要测试顶点 v 的边表中adjvex是否存在结点 v 的下标j就行了。若求顶点的所有邻接点,其实就是对此顶点的边表进行遍历,得到的adjvex域对应的顶点就是邻接点。
若是有向图,邻接表结构是类似的,比如下图中第一幅图的邻接表就是第二幅图。但要注意的是有向图由于有方向,我们是以顶点为弧尾来存储边表的,这样很容易就可以得到每个顶点的出度。但也有时为了便于确定顶点的入度或以顶点为弧头的弧,我们可以建立一个有向图的逆邻接表,即对每个顶点 v 都建立一个链接为 v 为弧头的表。如下图的第三幅图所示。.

此时我们很容易就可以算出某个顶点的入度或出度是多少,判断两顶点是否存在弧也很容易实现。
对于带权值的网图,可以在边表结点定义中再增加一个weight的数据域,存储权值信息即可,如下图所示。

有了这些结构的图,下面关于结点定义的代码就很好理解了。
1 | typedef char VertexType; /* 顶点类型应由用户定义 */ |
对于邻接表的创建,也就是顺理成章之事。无向图的邻接表创建代码如下。
1 | /* 建立图的邻接表结构 */ |
这里加★★★代码,是应用了我们在单链表创建中讲解到的头插法,对于无向图,一条边对应都是两个顶点,所以在循环中,一次就针对i和j分别进行了插入。本算法的时间复杂度,对于n个顶点e条边来说,很容易得出是。
3.3 十字链表
对于有向图来说,邻接表是有缺陷的。关心了出度问题,想了解入度就必须要遍历整个图才能知道,反之,逆邻接表解决了入度却不了解出度的情况。有没有可能把邻接表与逆邻接表结合起来呢?答案是肯定的,就是把它们整合在一起。这就是我们现在要讲的有向图的一种存储方法:十字链表(Orthogonal List)。
我们重新定义顶点表结点结构如下表所示。

其中firstin表示入边表头指针,指向该顶点的入边表中第一个结点;firstout表示出边表头指针,指向该顶点的出边表中的第一个结点。
重新定义的边表结点结构如下表所示。

其中tailvex是指弧起点在顶点表的下标,headvex是指弧终点在顶点表中的下标,headlink是指入边表指针域,指向终点相同的下一条边,tillink是指边表指针域,指向起点相同的下一条边。如果是网,还可以再增加一个weight域来存储权值。
比如下图,顶点依然是存入一个一维数组 {v, v, v, v},实线箭头指针的图示完全与上面的邻接表的图相同。就以顶点 v 来说,firstout指向的是出边表中的第一个结点 v。所以 v 边表结点的headvex=3,而ailvex其实就是当前顶点 v 的下标 0,由于 v 只有一个出边顶点,所以headlink和taillink都是空。

我们重点需要来解释虚线箭头的含义,它其实就是此图的逆邻接表的表示。对于 v 来说,它有两个顶点 v 和 v 的入边。因此 v 的firstin指向顶点 v 的边表结点中headvex为 0 的结点,如右上图中的①。接着由入边结点的headlink指向下一个入边顶点 v,如图中的②。对于顶点 v,它有一个入边顶点 v,所以它的firstin指向顶点 v 的边表结点中headvex为 1 的结点,如图中的③。顶点 v 和 v 也是同样有一个入边顶点,如图中④和⑤。
十字链表的好处就是因为把邻接表和逆邻接表整合在了一起, 这样既容易找到以 v 为尾的弧,也容易找到以 v 为头的弧,因而容易求得顶点的出度和入度。而且它除了结构复杂一点外,其实创建图算法的时间复杂度是和邻接表相同的,因此,在有向图的应用中,十字链表是非常好的数据结构模型。
3.4 邻接多重表
讲了有向图的优化存储结构,对于无向图的邻接表,有没有问题呢?如果我们在无向图的应用中,关注的重点是顶点,那么邻接表是不错的选择,但如果我们更关注边的操作,比如对已访问过的边做标记,删除某一条边等操作, 那就意味着,需要找到这条边的两个边表结点进行操作,这其实还是比较麻烦的。比如下图,若要删除左下图的 (v, v) 这条边,需要对邻接表结构中右边表的阴影两个结点进行删除操作,显然这是比较烦琐的。

因此,我们也仿照十字链表的方式,对边表结点的结构进行一些改造,也许就可以避免刚才提到的问题。
重新定义的边表结点结构如下表所示。

其中,ivex和jvex是与某条边依附的两个顶点在顶点表中下标;ilink指向依附顶点ivex的下一条边;jlink指向依附顶点jvex的下一条边。这就是邻接多重表结构。
我们来看结构示意图的绘制过程,理解了它是如何连线的,也就理解邻接多重表构造原理了。如下图所示,左下图告诉我们它有 4 个顶点和 5 条边,显然,我们就应该先将 4 个顶点和 5 条边的边表结点画出来。由于是无向图,所以ivex是 0、jvex是 1 还是反过来都是无所谓的,不过为了绘图方便,都将ivex值设置得与一旁的顶点下标相同。

我们开始连线,如下图。首先连线的①②③④就是将顶点的firstedge指向一条边,顶点下标要与ivex的值相同,这很好理解。接着,由于顶点 v 的 (v, v) 边的邻边有 (v, v) 和 (v, v)。 因此⑤⑥的连线就是满足指向下一条依附于顶点 v 的边的目标,注意ilink指向的结点的jvex一定要和它本身的ivex的值相同。同样的道理,连线⑦就是指 (v, v) 这条边,它是相当于顶点 v 指向 (v, v) 边后的下一条。v 有三条边依附,所以在③之后就有了⑧⑨。连线①的就是顶点 在连线④之后的下一条边。左图一共有 5 条边,所以右图有 10 条连线,完全符合预期。

到这里,大家应该可以明白,邻接多重表与邻接表的差别,仅仅是在于同一条边在邻接表中用两个结点表示,而在邻接多重表中只有一个结点。这样对边的操作就方便多了,若要删除左图的 (v, v) 这条边,只需要将右图的⑥⑨的链接指向改为 “^” 即可。由于各种基本操作的实现也和邻接表是相似的,这里我们就不讲解代码了。
3.5 边集数组
边集数组是由两个一维数组构成。一个是存储顶点的信息;另一个是存储边的信息,这个边数组每个数据元素由一条边的起点下标(begin)、 终点下标(end)和权(weight)组成,如下图所示。显然边集数组关注的是边的集合,在边集数组中要查找一个顶点的度需要扫描整个边数组,效率并不高。因此它更适合对边依次进行处理的操作,而不适合对顶点相关的操作。

定义的边数组结构如下表所示。
其中begin是存储起点下标,end是存储终点下标,weight是存储权值。
4. 图的遍历
图的遍历是和树的遍历类似,我们希望从图中某一顶点出发访遍图中其余顶点,且使每一个顶点仅被访问一次,这一过程就叫做图的遍历(Traversing Graph)。
树的遍历我们谈到了四种方案,应该说都还好,毕竟根结点只有一一个,遍历都是从它发起,其余所有结点都只有一个双亲。可图就复杂多了,因为它的任一顶点都可能和其余的所有顶点相邻接,极有可能存在沿着某条路径搜索后,又回到原顶点,而有些顶点却还没有遍历到的情况。因此我们需要在遍历过程中把访问过的顶点打上标记,以避免访向多次而不自知。具体办法是设置一个访问数组visited[n],n是图中顶点的个数,初值为 0,访问过后设置为 1。这其实在小说中常常见到,一行人在迷宫中迷了路,为了避免找寻出路时屡次重复,所以会在路口用小刀刻上标记。
对于图的遍历来说,如何避免因回路陷入死循环,就需要科学地设计遍历方案,通常有两种遍历次序方案:它们是深度优先遍历和广度优先遍历。
4.1 深度优先遍历
深度优先遍历(Depth First Search),也有称为深度优先搜索,简称为DFS。
为了更好的理解深度优先遍历,我们来做-一个游戏。
假设你需要完成一个任务,要求你在如左下图这样的一个迷宫中,从顶点A开始要走遍所有的图顶点并作上标记,注意不是简单地看着这样的平面图走哦,而是如同现实般地在只有高墙和通道的迷宫中去完成任务。

很显然我们是需要策略的,否则在这四通八达的通道中乱窜,要想完成任务那就只能是碰运气。如果你学过深度优先遍历,这个任务就不难完成了。
首先我们从顶点A开始,做上表示走过的记号后,面前有两条路,通向B和F,我们给自已定一个原则,在没有碰到重复顶点的情况下,始终是向右手边走,于是走到了B顶点。整个行路过程,可参看右上图。此时发现有三条分支,分别通向顶点C、I、G,右手通行原则,使得我们走到了C顶点。就这样,我们一直顺着右手通道走,一直走到F顶点。当我们依然选择右手通道走过去后,发现走回到顶点A了,因为在这里做了记号表示已经走过。此时我们退回到顶点F,走向从右数的第二条通道,到了G顶点,它有三条通道,发现B和D都已经是走过的,于是走到H,当我们面对通向H的两条通道D和E时,会发现都已经走过了。
此时我们是否已经遍历了所有顶点呢?没有。可能还有很多分支的顶点我们没有走到,所以我们按原路返回。在顶点H处,再无通道没走过,返回到G,也无未走过通道,返回到F,没有通道,返回到E,有一条通道通往H的通道,验证后也是走过的,再返回到顶点D,此时还有三条道未走过,一条条来,H走过了,G走过了,I,哦,这是一个新顶点,没有标记,赶快记下来。继续返回,直到返回顶点A,确认你已经完成遍历任务,找到了所有的 9 个顶点。
反应快的同学一定会感觉到,深度优先遍历其实就是一个递归的过程,如果再敏感一些,会发现其实转换成如右上图后,就像是一棵树的前序遍历,没错,它就是。它从图中某个顶点v出发,访问此顶点,然后从v的未被访问的邻接点出发深度优先遍历图,直至图中所有和v有路径相通的顶点都被访问到。事实上,我们这里讲到的是连通图,对于非连通图,只需要对它的连通分量分别进行深度优先遍历,即在先前一个顶点进行一次深度优先遍历后,若图中尚有顶点未被访问,则另选图中一个未曾被访问的顶点作起始点,重复上述过程,直至图中所有顶点都被访问到为止。
如果我们用的是邻接矩阵的方式,则代码如下:
1 |
|
代码的执行过程,其实就是我们刚才迷宫找寻所有顶点的过程。
如果图结构是邻接表结构,其DFSTraverse函数的代码是几乎相同的,只是在递归函数中因为将数组换成了链表而有不同,代码如下。
1 | /* 邻接表的深度优先递归算法 */ |
1 | /* 邻接表的深度遍历操作 */ |
对比两个不同存储结构的深度优先遍历算法,对于n个顶点e条边的图来说,邻接矩阵由于是二维数组,要查找每个顶点的邻接点需要访问矩阵中的所有元素,因此都需要 的时间。而邻接表做存储结构时,找邻接点所需的时间取决于顶点和边的数量,所以是 。显然对于点多边少的稀疏图来说,邻接表结构使得算法在时间效率上大大提高。
对于有向图而言,由于它只是对通道存在可行或不可行,算法上没有变化,是完全可以通用的。这里就不再详述了。
4.2 广度优先遍历
广度优先遍历(Breadth First Search),又称为广度优先搜索,简称BFS。
如果说图的深度优先遍历类似树的前序遍历,那么图的广度优先遍历就类似于树的层序遍历了。我们将下图的第一幅图稍微变形,变形原则是顶点A放置在最上第一层,让与它有边的顶点B、F为第二层,再让与B和F有边的顶点C、I、G、E为第三层,再将这四个顶点有边的D、H放在第四层,如下图的第二幅图所示。此时在视觉上感觉图的形状发生了变化,其实顶点和边的关系还是完全相同的。
有了这个讲解,我们来看代码就非常容易了。以下是邻接矩阵结构的广度优先遍历算法。
1 | /* 邻接矩阵的广度遍历算法 */ |
对于邻接表的广度优先遍历,代码与邻接矩阵差异不大,代码如下。
1 | /* 邻接矩阵的广度遍历算法 */ |
对比图的深度优先遍历与广度优先遍历算法,你会发现,它们在时间复杂度上是一样的, 不同之处仅仅在于对顶点访问的顺序不同。可见两者在全图遍历上是没有优劣之分的,只是视不同的情况选择不同的算法。
不过如果图顶点和边非常多,不能在短时间内遍历完成,遍历的目的是为了寻找合适的顶点,那么选择哪种遍历就要仔细斟酌了。深度优先更适合目标比较明确,以找到目标为主要目的的情况,而广度优先更适合在不断扩大遍历范围时找到相对最优解的情况。
5. 总结
图是计算机科学中非常常用的一类数据结构, 有许许多多的计算问题都是用图来定义的。由于图也是最复杂的数据结构,对它讲解时,涉及到数组、链表、栈、队列、树等之前学的几乎所有数据结构。因此从某种角度来说,学好了图,基本就等于理解了数据结构这门课的精神。
我们在图的定义这一节,介绍了一大堆定义和术语,一开始可能会有些迷茫, 不过一回生二回熟,多读几遍,基本都可以理解并记住它们的特征,在图的定义这一节的末尾,我们已经有所总结,这里就不再赘述了。
图的存储结构我们一共讲了五种,如下图所示,其中比较重要的是邻接矩阵和邻接表,它们分别代表着边集是用数组还是链表的方式存储。十字链表是邻接矩阵的一种升级, 而邻接多重表则是邻接表的升级。边集数组更多考虑的是对边的关注。用什么存储结构需要具体问题具体分析,通常稠密图,或读存数据较多,结构修改较少的图,用邻接矩阵要更合适,反之则应该考虑邻接表。

图的遍历分为深度和广度两种,各有优缺点,就像人在追求卓越时,是着重深度还是看重广度,总是很难说得清楚。
后续再着重说说图的一系列应用。




